Перейти к:
Ледокольный мем
https://doi.org/10.21443/3034-1434-2025-3-4-75-83
Аннотация
Недавно профессор М.В. Винарский обратил внимание на существование научных мемов — визуальных или вербальных образов, в доходчивой форме маркирующих в массовом сознании конкретную научную теорию или личность ученого. Им высказано предположение, что научные мемы могут появляться лишь для научных событий, которые наиболее важны в мировоззренческом отношении. В статье показывается, что такие мемы могут существовать и в технических науках, например в морской ледотехнике. Примером может служить устойчивое мнение о том, что ледокол разрушает ледяной покров своим весом. В работе разбираются возможные причины возникновения этого ледокольного мема, а также в чем содержащаяся в нем информация не совсем корректно отражает реальные процессы. В конце работы высказаны предположения о возможных причинах возникновения научных мемов и делается вывод о том, что в настоящее время вероятность возникновения новых научных мемов крайне мала.
Для цитирования:
Сазонов К.Е. Ледокольный мем. Арктика и инновации. 2025;3(4):75-83. https://doi.org/10.21443/3034-1434-2025-3-4-75-83
For citation:
Sazonov K.E. Icebreaking meme. Arctic and Innovations. 2025;3(4):75-83. (In Russ.) https://doi.org/10.21443/3034-1434-2025-3-4-75-83
Введение
Поводом для написания этой заметки стало прослушивание лекции профессора М.В. Винарского «”Происхождение обезьяны”: научные мемы и их эволюция» на научно-популярном сайте «Элементы». Несколько позже я ознакомился с короткой работой того же автора [1]. В этих работах по аналогии с общеизвестным понятием мема, введенного Р. Докинзом, автор вводит понятие «научного мема».
Винарский предлагает следующее рабочее определение этого понятия: «Научный мем — это визуальный или вербальный (слоган) образ, в кратчайшей и максимально доходчивой форме маркирующий в массовом сознании конкретную научную теорию или личность ученого» [1, с. 43]. В качестве примера автор определения приводит такие общеизвестные научные мемы, как «яблоко Ньютона» и «ванна Архимеда», а также подробно разбирает генезис центрального мема дарвинизма о том, что «человек происходит от обезьяны». По мнению Винарского, такие научные мемы важны для популяризации и создания положительного имиджа науки в массовой культуре. Он подчеркивает, что «меметизации» подверглось относительно небольшое число научных фактов и концепций, «наиболее важных в мировоззренческом отношении» [1, с. 43, 44]. При этом роль научных мемов не всегда положительна, т. к. они сводят сложные научные проблемы к весьма упрощенной, примитивной форме.
Автор задался вопросом, существуют ли научные мемы в его основной специальности — морской ледотехнике. Сразу в голову пришел соответствующий вербальный образ: «Ледокол ломает лед, вползая на него и проламывая своим весом». Насколько автор может судить, этот мем весьма распространен. Такое объяснение работы ледокола он слышал в детстве, используется оно и сейчас. Интернет в ответ на запрос «Как работает ледокол?» выдает ссылки на ряд сайтов1, в которых приводится именно это объяснение. В данной заметке автор попытался выяснить, как появился этот мем, и рассмотреть, насколько он соответствует действительности.
Что не так с ледокольным мемом?
Основная ошибка ледокольного мема заключается в том, что в нем причина и следствие поменялись местами. Кроме этого, он содержит еще явную ошибку, связанную со словом «вес».
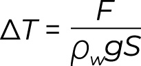
Рассмотрим сначала вопрос, связанный с весом. Подавляющее большинство людей понимает под этим словом вес ледокола, что абсолютно неправильно. Когда любое судно, в том числе и ледокол, движутся по чистой воде, их вес уравновешен силой Архимеда. Если же в процессе эксплуатации на судно по тем или иным причинам (волнение, посадка на камень или мель, движение во льдах и прочее) будет действовать возмущающая вертикальная сила, противоположная действию силы тяжести, это вызовет некоторое всплытие корпуса судна из воды (рис. 1). Из-за этого всплытия погруженный в воду объем корпуса станет меньше и, соответственно, уменьшится величина силы Архимеда, поддерживающей судно. Разность между весом судна и новым значением силы Архимеда определит величину так называемой силы потерянной плавучести, которая будет в точности равна величине возмущающей вертикальной силы. Для гипотетического судна, имеющего вертикальный борт, величина изменения его осадки ΔТ при действии вертикальной возмущающей силы F может быть определена по простой формуле:
, (1)
где ρw — плотность воды; g — ускорение свободного падения; S — площадь ватерлинии судна.

Рис. 1. Действие на судно возмущающей вертикальной силы F: а) невозмущенное положение судна; б) положение судна при действии возмущающей силы; ΔТ — изменение осадки судна при действии силы (авторский рисунок)
Fig. 1. Effect of a disturbing vertical force F on a vessel: a) undisturbed vessel position; b) vessel position under the action of the disturbing force; ΔT — change in the vessel draft under the force action
Из приведенной формулы следует, что вес (водоизмещение) судна никаким образом не влияет на всплытие судна при действии возмущающей вертикальной силы.
Описанная выше ситуация является крайне упрощенной. Она соответствует практически не реализуемому случаю, когда линия действия возмущающей силы проходит через центр тяжести судна. В любой другой ситуации действие силы F приведет к возникновению момента, вызывающего крен и дифферент судна. При наличии крена и дифферента определение величины всплытия судна даже с вертикальными бортами уже не является столь простой задачей.
Подводя итог, можно сделать вывод, что в ледокольном меме слово «вес» не должно присутствовать. При «вползании» ледокола на льдину происходит его всплытие, и на лед действует сила потерянной плавучести, которая в первую очередь зависит от геометрической формы судна.
Теперь рассмотрим, в чем выражается нарушение причинно-следственной связи в ледокольном меме. Для простоты предположим, что взаимодействие корпуса ледокола со льдом локализуется исключительно в его носовой оконечности в районе форштевня. Такая идеализация в принципе может реализоваться при движении небольших по размеру судов преимущественно в пресноводных льдах.
Физическую картину корпуса судна со льдом в этом случае можно описать следующим образом [2]. При взаимодействии форштевня с кромкой ледового поля происходит ее смятие с образованием поверхности смятия (рис. 2). Смятие кромки (локальное разрушение льда) происходит под действием тяги движительного комплекса судна. При смятии возникает нормальное N к борту усилие, величина которого может быть определена по простой формуле:
N = σcSc , (2)
где σc — предел прочности льда на смятие, который определяется по результатам испытаний специальных образцов как в лабораторных, так и в натурных условиях; Sc — площадь поверхности смятия, которая легко может быть определена на основании теоретического чертежа носовой оконечности судна, величина этой площади зависит от глубины внедрения форштевня в лед.

Рис. 2. Схема действия сил, возникающих при разрушении ледяного покрова форштевнем ледокола. N — нормальное к площадке смятия усилие; FB, FX — вертикальная и горизонтальная составляющие нормального усилия; ТЕ — тяга движительного комплекса ледокола (авторский рисунок)
Fig. 2. Diagram of forces arising when the ice cover is destroyed by the icebreaker stem. N — force normal to the crushing area; FV, FX — vertical and horizontal components of the normal force; TE — thrust of the icebreaker propulsion system (drawing by the author)
Нормальная сила N, действующая со стороны льда на корпус ледокола, может быть разложена на горизонтальную и вертикальную составляющие. Горизонтальная — это одна из многих компонент, составляющих силу сопротивления льда движению ледокола. Сила ледового сопротивления преодолевается тягой движительного комплекса ледокола. Именно величина тяги, которая зависит от общей мощности энергетической установки, определяет возможность движения ледокола в тех или иных условиях.
Вертикальная же составляющая нормальной силы при достижении ею некоторого критического значения вызывает разрушение ледяного покрова изгибом. Величина критического разрушающего усилия зависит от многих факторов, главными из которых являются толщина льда и его предел прочности на изгиб.
Таким образом, все силы, действующие на носовую оконечность ледокола и вызывающие разрушение льда, зависят только от тяги движительного комплекса и определяются только ею.
На самом деле механика движения ледокола во льдах намного сложнее, чем здесь описано. Ледяной покров разрушается корпусом не только в районе форштевня, но и на всем протяжении носового заострения вплоть до участка корпуса, имеющего максимальную ширину на уровне действующей ватерлинии. При этом в разрушении ледяного покрова изгибом участвуют и отдельные участки бортов. После разрушения льда происходят процессы поворота и притапливания обломанных льдин, на реализацию которых затрачивается довольно большое количество энергии. На подводной части корпуса формируется так называемая «ледовая рубашка», трение которой о корпус также увеличивает ледовое сопротивление. Все эти составляющие сопротивления преодолеваются только тягой движительного комплекса.
Теперь становится понятным, в чем заключается нарушение в ледокольном меме причинно-следственных связей. Величина вертикальной силы, вызывающей разрушение ледяного покрова изгибом, задается геометрией корпуса и величиной тяги. В соответствии с третьим законом Ньютона на корпус ледокола также действует вертикальная сила. Эта сила вызывает всплытие и дифферент на корму ледокола при движении во льдах. При всплытии возникает, как это было показано выше, потерянная сила плавучести. Таким образом, потерянная сила плавучести не ломает лед, а возникает для компенсации усилий, ломающих лед.
Можно с абсолютной уверенностью утверждать, что ледокольный мем мог сложиться только в конце XIX в. В это время ледоколы и ледокольные суда имели относительно небольшие размеры [3] и малое водоизмещение. Для таких судов эффект действия внешней (ледовой) силы проявляется весьма заметно в виде легко определяемого на глаз всплытия и заметного дифферента. По мере увеличения водоизмещения и мощности ледоколов эти эффекты становятся все менее заметными. Для современных ледоколов их наличие можно определить только с помощью специальных приборов. Так, у современных атомных ледоколов дифферент при движении в сплошных льдах практически не превышает 1°.
Поиски источника мема
Первые указания на возможный источник ледокольного мема обнаружился в отчете известного ученого-судостроителя Л.М. Ногида о его командировке на ледокольный пароход «Садко» во время зимнего зверобойного рейса в горло Белого моря в 1936 г. [4]. В этом отчете Ногид, рассуждая об особенностях движения «Садко» во льдах, пишет: «Со времени опубликования в конце восьмидесятых годов прошлого столетия (XIX в. — К.С.) работы Рунеберга, в которой теоретически рассматриваются некоторые вопросы ледового плавания, принято думать, что работа ледокола при движении его во льдах сводится к ряду последовательных восхождений на лед и проламыванию его силой собственного веса» [4, с. 29а]. Он недвусмысленно указывает, что автором утверждения, ставшего мемом, является выдающийся финский инженер Р.И. Рунеберг [5], который в своей разнообразной инженерной деятельности занимался в том числе и изучением ледового плавания судов и их проектированием [6].
Однако внимательное прочтение его пионерской теоретической работы о плавании судов во льдах, опубликованной в 1889 г. [7], не выявило никаких указаний на то, что он считал вес ледокола основной силой, разрушающей ледяной покров. В этом можно убедиться, рассмотрев расчетную формулу Рунеберга для определения величины вертикальной силы V, которая ломает лед:
, (3)
где Т — упор движителя; f — коэффициент трения льда о корпус судна; β — средний угол наклона шпангоутов в носовой оконечности; φ — средний угол наклона батокса.
В этой формуле отсутствует водоизмещение (вес) судна, величина разрушающего лед усилия зависит от упора движительного комплекса. Таким образом, нет никаких оснований считать Р.И. Рунеберга творцом ледокольного мема.
Оценим временной интервал, когда сформировался ледокольный мем. Концом этого интервала можно считать 1896 г. В этом году в очередном томе энциклопедического словаря, издаваемого Ф.А. Брокгаузом и И.А. Ефроном, в статье «Ледокольные работы» было написано: «…Одни из них (пароход ледокол) ломают лед ударом, а другие разбивают ледяной покров своею тяжестью, напирая на него сверху. В пароходах второй категории киль имеет подъем к носу. Двигателем служит винт…» [8, с. 468]. Фиксация мема в энциклопедическом словаре говорит о том, что выраженное в нем мнение являлось общепринятым. Поэтому целый ряд важных и обсуждаемых в обществе событий, таких как лекция С.О. Макарова 1897 г. «К Северному полюсу — напролом!», строительство и ледовые плавания ледокола «Ермак», не могут быть источниками появления ледокольного мема.
Казалось бы, что за начало временного промежутка можно принять 1889 г., когда появилась статья Рунеберга, объясняющая механику движения судна во льдах. Однако это не так. На Балтийском море ледоколы и ледокольные суда применялись в течение практически всей второй половины XIX в. [3]. Их работа вызывала определенный общественный интерес, освещалась в печати. В качестве примера можно указать развернувшуюся в 1860-х и 1870-х годах в Финляндии дискуссию по «ледокольному вопросу» [9]. В ней рассматривались возможности ледового плавания в целом и оценивались существующие технические решения. Высказывались мнения как в поддержку развития ледокольного флота, так и против. Результатом этой дискуссии стало создание ледокольного судна «Экспресс» (рис. 3), которое полностью выполнило возложенные на него функции, обеспечив практически непрерывную зимнюю навигацию в порт Ханко начиная с 1877 г. [6][9]. Поэтому появление ледокольного мема возможно в любой момент начиная со второй половины 60-х годов XIX в., когда ледоколы стали применяться для продления навигации Кронштадтом и материком.

Рис. 3. Ледокольное судно «Экспресс» [7]
Fig. 3. “Ekspress” icebreaker [7]
К сожалению, автор вынужден констатировать, что источник возникновения мема установить не удалось. По всей вероятности, это была публикация в периодической печати, в которой описывалась работа ледокола во льдах. Такое объяснение оказалось весьма понятным читающей публике и стало тиражироваться в других изданиях.
Можно лишь перечислить причины, благодаря которым ледокольный мем стал общепризнанным. Их несколько. Во-первых, необходимость разрушения льда и создания в нем каналов возникала в практической деятельности человека неоднократно. Для решения этой задачи применялись различные технические устройства [10], подавляющее большинство которых было основано на использовании веса груза для разрушения льда.
Важным примером в этом отношении является предложение начальника кронштадтской строительной части полковника Н.Л. Эйлера о создании судна для связи Кронштадта с материком в зимних условиях [11, с. 100–102]. Он предложил на железном паровом судне установить семь кранов, с помощью которых на лед перед носовой оконечностью сбрасывались бы чугунные тяжести весом от 20 до 40 пудов. Предполагалось, что таким образом удастся разбивать лед на мелкие куски. Для проведения натурных испытаний была выделена канонерская лодка «Опыт», которую переименовали в «Опыт-Ледокол» (рис. 4). Испытания канонерской лодки «Опыт-Ледокол», оборудованной в соответствии с предложением Эйлера, закончились неудачей [12]. Тяжести пробивали лишь отверстия в ледяном покрове, чего было недостаточно для обеспечения возможности движения лодки во льдах.

Рис. 4. Канонерская лодка «Опыт» (https://www.perunica.ru/uploads/posts/2018-09/1537101929_4.jpg (дата обращения: 02.12.2025))
Fig. 4. “Opyt” gunboat (https://www.perunica.ru/uploads/posts/2018-09/1537101929_4.jpg (дата обращения: 02.12.2025))
Можно констатировать, что идея разрушения ледяного покрова весом приложенного к нему груза являлась вполне очевидной для общественного мнения. Она не противоречила обыденному опыту практически любого человека, который хоть раз в жизни ломал своим весом лед.
Второй причиной является наблюдавшееся в реальности всплытие и «вползание» маломощных и небольших по размерам ледоколов XIX в. на ледяной покров. Механика этих процессов описана выше.
Третья причина связана с особенностями тактики ледового плавания, в которых неспециалист разбирался довольно плохо. Существует два приема движения судна в сплошных ровных льдах. Первый прием реализуется, когда тяги движительного судна хватает на преодоление ледового сопротивления. Однако для любого судна существует некоторая предельная толщина льда, при превышении которой судно уже не может двигаться во льдах непрерывным ходом даже при использовании полной мощности энергетической установки. Эта толщина льда называется предельной ледопроходимостью судна и является одной из важнейших его технических характеристик.
Однако достижение ледяным покровом предельных для судна значений не означает, что оно в таких условиях не может двигаться. Применение тактического приема «движение набегами» позволяет продолжить плавание. Суть этого приема заключается в том, судно отходит назад по уже проложенному им во льдах каналу на некоторое расстояние. Затем, двигаясь по чистой воде в канале, оно разгоняется и на повышенной скорости ударяет о преграду. Такой маневр позволяет судну продвинуться на некоторое расстояние в запредельный лед. Продвижение становится возможным из-за того, что к тяге движительного комплекса добавляется сила инерции, увеличивая ее. Описанный прием позволяет увеличить диапазон толщин льда, в которых возможно движение судна, на некоторую величину [13]. Эффективность работы судна набегами зависит от его водоизмещения (веса), т. к. при одной и той же скорости при соударении судна с неразрушенным льдом инерционная сила тем будет больше, чем больше водоизмещение судна.
Тактический прием «движение набегами» активно применялся судоводителями в XIX в. Об этом свидетельствует специальное его рассмотрение в первой теоретической работе Р.И. Рунеберга в 1889 г. [7]. Поэтому можно предположить, что у внешнего, недостаточно хорошо разбирающегося в тактике ледового плавания наблюдателя могла сформироваться иллюзия влияния веса ледокола на его способность разрушать лед.
О происхождении научных мемов
Завершая рассмотрение ледокольного мема, хотелось бы высказать ряд соображений о тех условиях, в которых возможно их возникновение.
По мнению автора, одной из важнейших причин возникновения научных мемов является опора предлагаемого объяснения того или иного научного и технического явления на обыденный опыт человека. Каждому человеку хорошо известен эффект изменения уровня жидкости в ванне при погружении в нее (ванна Архимеда). Столь же очевидно падение яблок (яблоко Ньютона). Любой человек, который хоть раз увидел обезьяну, не мог не поразиться ее сходству со своим собственным телом (происхождение человека от обезьяны). Как было показано выше, ледокольный мем также имеет опору на обыденный опыт, связь с которым делает информацию о научном или техническом факте легкоусвояемой, а также способствует ее передаче и распространению при общении людей. Поэтому можно предположить, что большинство ныне существующих научных мемов возникло во второй половине XIX — начале XX в. В это время научные открытия и технические изобретения еще довольно сильно были связаны с явлениями, наблюдаемыми в обычной жизни. В то же время их число было относительно невелико и вызывало повышенный интерес в обществе. Дальнейшее развитие науки и техники привело к обнаружению новых фактов, которые слабо связаны с обыденными представлениями, что ликвидировало возможность генерации новых научных мемов. Кроме этого, экспоненциальное развитие исследований сделало практически невозможным выделение каких-либо магистральных направлений развития науки и техники, вызвало формирование групп по интересам, чем существенно снизило объем аудитории, в которой может возникнуть и существовать научный мем.
Рассмотренный в данной статье ледокольный мем опровергает мнение профессора М.В. Винарского о том, что «меметизации» подверглось относительно небольшое число научных фактов и концепций, «наиболее важных в мировоззренческом отношении». Очевидно, что объяснение работы ледокола во льдах не может рассматриваться в «мировоззренческом отношении». Поэтому важность в научном отношении не является необходимым условием для возникновения научного мема. По мнению автора, таким необходимым, но отнюдь не достаточным условием является наличие в обществе в течение продолжительного времени повышенного интереса к выбранной теме.
В рассмотренном в работе случае во второй половине XIX — начале XX в. в обществе существовал повышенный интерес к полярным исследованиям, а также ко всему, что было с ними связано. Этот интерес создал ту питательную среду, в которой частный вопрос о работе ледокола получил широкое распространение и превратился в ледокольный мем.
Вклад автора
Автор подтверждает единоличную ответственность за концепцию и дизайн исследования, сбор и анализ данных, интерпретацию результатов, а также подготовку рукописи.
Author contribution statement
The author confirms her sole responsibility for the study conception and design, data collection, analysis and interpretation of results, and manuscript preparation.
1. URL: https://ru.wikipedia.org/wiki/Ледокол; URL: https://www.ixbt.com/live/offtopic/kak-ledokol-lomaet-led-i-kakie-osobennosti-konstrukcii-imeet.html; URL: https://www.stena.ee/blog/kak-rabotaet-ledokol и др. (дата обращения 09.11.24)
Список литературы
1. Винарский М.В. «Происхождение обезьяны»: к истории центрального мема о дарвинизме. В: Институт истории естествознания и техники им. С.И. Вавилова. Годичная конференция, 2022: Труды XXVIII Годичной конференции Института истории естествознания и техники им. С.И. Вавилова РАН. Москва; 2022, c. 43–48.
2. Сазонов К.Е. Теоретические основы плавания судов во льдах. СПб.: ЦНИИ им. акад. А.Н. Крылова; 2010.
3. Андриенко В.Г. Ледокольный флот России, 1860-е — 1918 гг. Москва: Европейские издания; 2009.
4. Ногид Л.М. Наблюдения на ледокольном пароходе «Садко» в зимний зверобойный рейс 1936 г. [рукопись]; 1936.
5. Сазонов К.Е. Инженер Роберт Рунеберг: между Финляндией и Россией. Природа. 2021;(6):67–79.
6. Сазонов К.Е. Зарождение теории ледоколов: Роберт Рунеберг. Судостроение. 2022;(6):65–72.
7. Runeberg, R. On steamers for winter navigation and ice-breaking. (including plates at back of volume). Minutes of the Proceedings of the Institution of Civil Engineers. 1889;97:277– 301. https://doi.org/10.1680/imotp.1889.20763
8. Брокгауз Ф.А., Ефрон И.А., Петрушевский Ф.Ф., Андреевский И.Е., Шевяков В.Т., Арсеньев К.К. Энциклопедический словарь. Т. 17. Култагой — Лед. Санкт-Петербург: Типо-Литография И.А.Ефрона; 1896.
9. Matala S., Sahari A. Small nation, big ships winter navigation and technological nationalism in a peripheral country, 1878–1978. History and Technology. 2017;33(2):220–248. https://doi.org/10.1080/07341512.2017.1343909
10. Бордученко Ю.Л. Ледокольный флот России. СПб.: ИПТ РАН; 2018.
11. Эйлер Н. Морской ледокол. Морской сборник. 1865;LXXXI(11):99–110.
12. Мертваго Д. Ледоколы и сообщение Кронштадта с материком. Морской сборник. 1866;LXXXVII(12):221–226.
13. Сазонов К.Е. Оценка предельной толщины льда, преодолеваемой ледоколом при работе набегами. Судостроение. 2017;(4):9–10.
Об авторе
К. Е. СазоновРоссия
Сазонов Кирилл Евгеньевич — доктор технических наук, начальник лаборатории морской ледотехники, старший научный сотрудник
РИНЦ ID: 175637
Scopus ID: 6603188555
Тел.: +7 921 323-95-50
196158, Санкт-Петербург, Московское шоссе, 44
Рецензия
Для цитирования:
Сазонов К.Е. Ледокольный мем. Арктика и инновации. 2025;3(4):75-83. https://doi.org/10.21443/3034-1434-2025-3-4-75-83
For citation:
Sazonov K.E. Icebreaking meme. Arctic and Innovations. 2025;3(4):75-83. (In Russ.) https://doi.org/10.21443/3034-1434-2025-3-4-75-83






